2026年伊始,西安九州再生医学集团有限公司(以下简称“九州再生医学集团”)迎来重磅喜讯——自主研发的外泌体原料成功通过国际化妆品原料INCI备案(备案号:40181)。至此,九州再生医学集团已同步具备美国FDA DMF II型原料药备案(备案号:043407)与国际化妆品INCI成分双备案,一举斩获通往全球市场的“双绿卡”。这一里程碑式的突破,既是对九州再生医学集团研发实力与品控体系的高度认可,也为2026年高质量发展注入了强劲动能。

九州再生医学集团获FDA DMF与INCI双备案

INCI是国际化妆品原料命名的缩写,由美国个人护理产品协会(PCPC)管理和制定的一套为化妆品原料命名的国际通用标准,被全球70多个国家和地区认可;INCI是化妆品原料的“国际通用身份证”,使其在全球范围内,尤其是在美国、中国、欧盟及日本等主流市场中,具备跨地区、跨语言的识别性与合规性。
双备案达成:药品与化妆品领域的双重认可

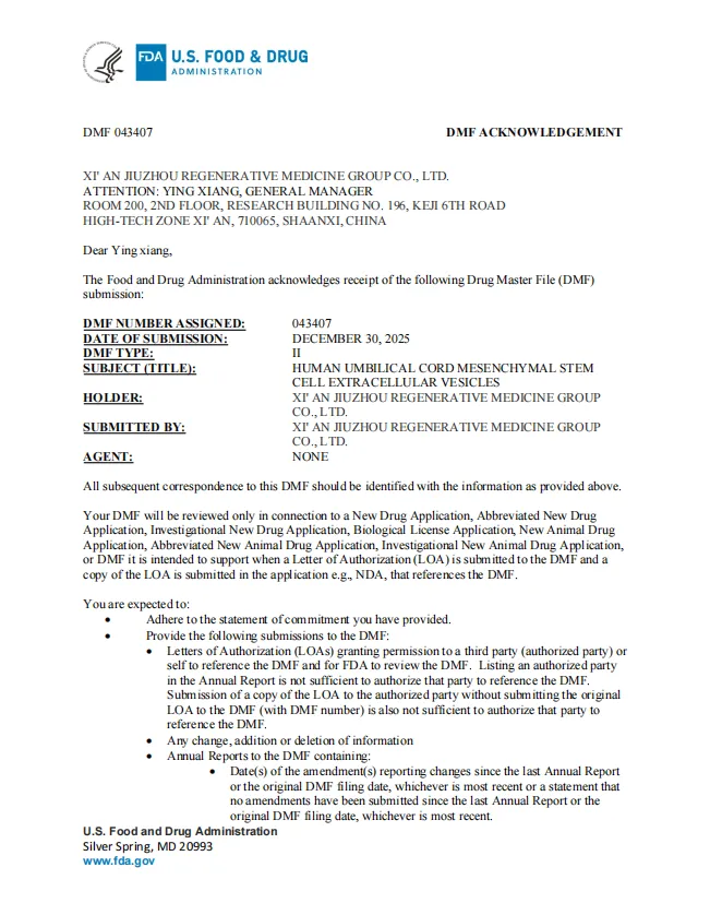
在2026年1月,九州再生医学集团自主研发生产的外泌体原料正式通过美国FDA DMF II型原料药备案(备案号:043407)。这不仅标志着九州再生医学集团的外泌体原料质量体系、生产工艺及数据资料达到了国际药品监管的严格标准,更象征着西安在高端再生医学原料领域取得了进入全球主流医药研发供应链的“关键通行证”。

获得FDA DMF + INCI双备案,标志着九州再生医学集团外泌体原料达到国际质量与安全标准。不仅是技术实力与合规能力的体现,更意味着:
·九州再生医学集团可同时服务于药品+化妆品两大国际市场;
·为九州再生医学集团外泌体原料的全球化应用打开新局面;
·推动九州再生医学集团外泌体在新药研发、医疗健康、功能性护肤等领域的产业化进程。
外泌体技术的多领域临床进展
随着再生医学研究的深入,外泌体作为一种细胞间信号传递的关键介质,其在组织修复、免疫调节和再生医学领域的价值正被快速挖掘。目前,全球范围内已有大量临床前及临床研究证实了外泌体在多领域的干预潜力。
在护肤抗衰领域,外泌体可显著改善皮肤皱纹深度与弹性,促进胶原再生;在呼吸系统领域,雾化吸入外泌体可有效改善哮喘及COPD患者的肺功能指标,缓解气道阻塞;在神经系统领域,鼻腔给药可绕过血脑屏障递送外泌体,《Small》发表的研究展示了基于外泌体的帕金森病干预新策略,美国亦正在开展鼻滴外泌体改善神经病理性疼痛的临床探索;在肿瘤免疫领域,中国医药大学附设医院发布的“EXO 001靶向外泌体平台”在动物实验中实现了肺癌、胰腺癌等多种实体瘤的显著抑制。
目前,多家机构等已先后启动外泌体在抗衰、呼吸、神经及肿瘤等领域的临床试验,外泌体的临床研究正加速走向现实。在政策层面,根据国家药监局发布的《关于药械组合产品注册有关事宜的通告》(2021年第52号),以药品作用为主的药械组合产品可按照药品有关要求申报注册,其中所含发挥药理作用的成分即使未单独获批上市,也可与医疗器械组合为单一实体进行申报。这一政策为外泌体药品及药械组合产品的注册路径提供了明确的法规依据。
未来,随着科研与产业的深度融合,外泌体有望在再生医学与生物科技中扮演更重要的角色。九州再生医学集团将继续秉持创新精神,助力中国生物技术在国际舞台上实现突破性进展!

九州再生医学集团
九州再生医学集团是一家专注于细胞基因技术研究、再生医学研究与技术成果转化应用的高科技集团化公司。依托陕西(九州)干细胞科技产业园平台,以细胞再生医学技术为驱动,潜心专研外泌体再生之源,并将再生医学研究与技术成果转化应用于美容护肤以及健康管理领域,为消费者提供科学、专业、安心、可靠的全生命周期闭环式康美管理服务。
免责声明:该文章系本站转载,旨在为读者提供更多信息资讯。所涉内容不构成投资、消费建议,仅供读者参考。
新闻